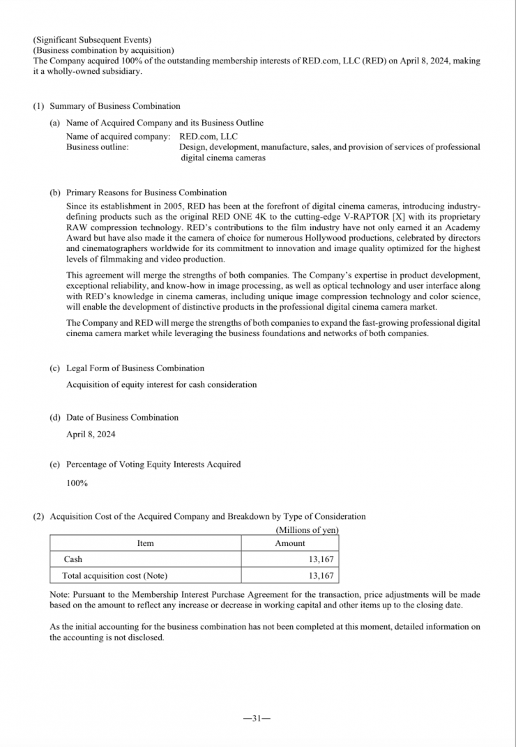
Nikon’s acquisition of RED.com LLC didn’t cost as much as you may think. In Japan, the financial year for businesses ends on the 31st of March. As a publically listed company on the Japanese stock exchange, Nikon is required to release its Consolidated Financial Results of the Year Ended March 31, 2024 (IFRS).

In this report, on page 31, Nikon lists that they acquired 100% of the outstanding membership interests of RED.com, LLC (RED) on April 8, 2024, making it a wholly-owned subsidiary. In this report, they list that they paid ¥13,167,000,000, which on April 8th with the currency exchange rate, was around $87 Million USD. Now, this may not be the final total that they actually pay as Pursuant to the Membership Interest Purchase Agreement for the transaction, price adjustments will be made based on the amount to reflect any increase or decrease in working capital and other items up to the closing date. As the initial accounting for the business combination has not been completed at this moment, detailed information on the accounting is not disclosed. Essentially what this means is that there will probably be some other expenses that need to be added up before there is an actual concrete number.
Given the relatively low purchase price, you have to wonder what financial position RED was actually in and why other companies potentially didn’t want to purchase it. Perhaps it was never offered to other companies and RED decided it wanted to sell to Nikon, who knows!

Yesterday, Nikon also released its financial results for the year ended March 31, 2024, and their forecast for the year ending March 31, 2025.

Above you can see the revenue and operating profits for Nikon’s various business segments.

It was pretty good news for Nikon’s Imagining Products Division as revenue was up by ¥52.6 billion. Nikon states that its Z8 and Zf cameras have been selling well and that the weaker Yen has also helped strengthen revenue.

Nikon’s forecast for the financial year ending 31st March, 2025 is that their acquisition of RED.com, LLC will help revenue increase in the Imaging Products Business with increased sales.

Nikon expects the mid/high-end camera model market to expand and also the digital cinema camera market.

The overall revenue forecast is for Nikon to earn ¥745 billion (around $4.9 billion USD).

